
ggragged extends the faceting system in ggplot2 to ragged grids—a
hybrid layout between facet_wrap() and
facet_grid().
facet_ragged_rows() groups panels into rows that can
vary in length.facet_ragged_cols() groups panels into columns that can
vary in length.Install the current release from CRAN:
install.packages("ggragged")Or the development version from GitHub:
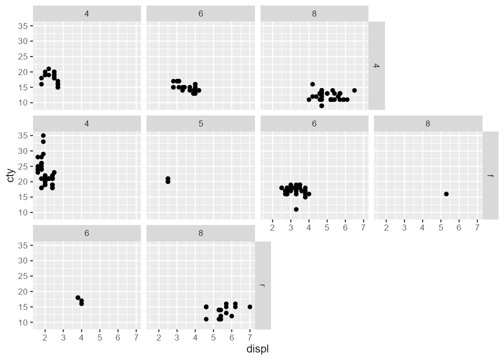
remotes::install_github("mikmart/ggragged")Ragged grids can be used to clearly separate nested hierarchies in the panel layout:
library(ggplot2)
library(ggragged)
p <- ggplot(mpg, aes(displ, cty)) + geom_point()
p + facet_ragged_rows(vars(drv), vars(cyl))
p + facet_ragged_cols(vars(cyl), vars(drv))