The goal of beaver is to fit Bayesian model averaging of negative-binomial dose-response models.
We begin with an example where we simulate negative binomial data where age and gender are prognostic factors. In this example, males have higher counts than females and older individual have higher counts than younger people.
library(dplyr)
#>
#> Attaching package: 'dplyr'
#> The following objects are masked from 'package:stats':
#>
#> filter, lag
#> The following objects are masked from 'package:base':
#>
#> intersect, setdiff, setequal, union
library(ggplot2)
library(beaver)
set.seed(222)
n <- 200
x <- data.frame(
age = log(runif(n, 18, 65)),
gender = factor(sample(c("F", "M"), n, replace = TRUE))
) %>%
model.matrix(~age + gender, data = .)
df <- data_negbin_emax(
n_per_arm = 50,
doses = 0:3,
b1 = c(-2, .75, .5),
# b1 = c(-1, 0, 0),
b2 = -2,
b3 = 1.5,
ps = .5,
x = x
) %>%
mutate(
gender = case_when(
genderM == 1 ~ "M",
TRUE ~ "F"
),
gender = factor(gender)
) %>%
dplyr::select(subject, dose, age, gender, response)
data_sumry <- df %>%
group_by(dose) %>%
summarize(
response = mean(response),
age = mean(age),
male = mean(gender == "M")
)
ggplot(df, aes(dose, response, color = age)) +
geom_point() +
geom_jitter() +
facet_grid(~ gender, labeller = label_both)
We now fit fit a Bayesian model where each dose is treated independently (no dose response) without covariates:
mcmc_indep <- beaver_mcmc(
indep = model_negbin_indep(
mu_b1 = 0,
sigma_b1 = 10,
mu_b2 = 0,
sigma_b2 = 10,
w_prior = 1
),
formula = ~ 1,
data = df,
n_adapt = 1e4,
n_burn = 1e4,
n_iter = 1e4,
n_chains = 4,
quiet = FALSE
)
#> Warning in rjags::jags.model(file = get_jags_model(model), data = jags_data, :
#> Unused variable "dose" in data
#> Compiling model graph
#> Resolving undeclared variables
#> Allocating nodes
#> Graph information:
#> Observed stochastic nodes: 200
#> Unobserved stochastic nodes: 8
#> Total graph size: 641
#>
#> Initializing model
# convergence
coda::gelman.diag(mcmc_indep$models$indep$mcmc, multivariate = FALSE)
#> Potential scale reduction factors:
#>
#> Point est. Upper C.I.
#> (Intercept) 1 1
#> b2[1] NaN NaN
#> b2[2] 1 1
#> b2[3] 1 1
#> b2[4] 1 1
#> p[1] 1 1
#> p[2] 1 1
#> p[3] 1 1
#> p[4] 1 1
# posterior mean at each dose
post_ind <- posterior(mcmc_indep, contrast = matrix(1, 1, 1))
post_ind$stats
#> # A tibble: 4 × 6
#> dose .contrast_index `(Intercept)` value `2.50%` `97.50%`
#> <int> <int> <dbl> <dbl> <dbl> <dbl>
#> 1 0 1 1 3.24 2.56 4.04
#> 2 1 1 1 1.34 0.889 1.95
#> 3 2 1 1 0.938 0.593 1.41
#> 4 3 1 1 0.640 0.358 1.06
# summary of data
data_sumry
#> # A tibble: 4 × 4
#> dose response age male
#> <int> <dbl> <dbl> <dbl>
#> 1 0 3.22 3.66 0.52
#> 2 1 1.32 3.69 0.54
#> 3 2 0.92 3.69 0.62
#> 4 3 0.62 3.66 0.44
plot(mcmc_indep, contrast = matrix(1, 1, 1))
We now fit fit a Bayesian model where each dose is treated independently (no dose response), but now include covariates:
mcmc_cov_indep <- beaver_mcmc(
indep = model_negbin_indep(
mu_b1 = 0,
sigma_b1 = 10,
mu_b2 = 0,
sigma_b2 = 10,
w_prior = 1
),
formula = ~ age + gender,
data = df,
n_adapt = 1e4,
n_burn = 1e4,
n_iter = 1e4,
n_chains = 4,
quiet = FALSE
)
#> Warning in rjags::jags.model(file = get_jags_model(model), data = jags_data, :
#> Unused variable "dose" in data
#> Compiling model graph
#> Resolving undeclared variables
#> Allocating nodes
#> Graph information:
#> Observed stochastic nodes: 200
#> Unobserved stochastic nodes: 10
#> Total graph size: 2227
#>
#> Initializing model
coda::gelman.diag(mcmc_cov_indep$models$indep$mcmc, multivariate = FALSE)
#> Potential scale reduction factors:
#>
#> Point est. Upper C.I.
#> (Intercept) 1.01 1.01
#> age 1.01 1.01
#> genderM 1.00 1.00
#> b2[1] NaN NaN
#> b2[2] 1.00 1.00
#> b2[3] 1.00 1.00
#> b2[4] 1.00 1.00
#> p[1] 1.00 1.00
#> p[2] 1.00 1.00
#> p[3] 1.00 1.00
#> p[4] 1.00 1.00
# Bayesian g-computation estimate
post_cov_ind <- posterior_g_comp(mcmc_cov_indep, new_data = df)
# compare widths of covariate adjusted and non-covariate adjusted
mutate(post_cov_ind$stats, width = `97.50%` - `2.50%`)
#> # A tibble: 4 × 5
#> dose value `2.50%` `97.50%` width
#> <int> <dbl> <dbl> <dbl> <dbl>
#> 1 0 3.24 2.60 3.97 1.37
#> 2 1 1.34 0.936 1.87 0.937
#> 3 2 0.942 0.602 1.40 0.797
#> 4 3 0.641 0.372 1.04 0.664
mutate(post_ind$stats, width = `97.50%` - `2.50%`)
#> # A tibble: 4 × 7
#> dose .contrast_index `(Intercept)` value `2.50%` `97.50%` width
#> <int> <int> <dbl> <dbl> <dbl> <dbl> <dbl>
#> 1 0 1 1 3.24 2.56 4.04 1.48
#> 2 1 1 1 1.34 0.889 1.95 1.07
#> 3 2 1 1 0.938 0.593 1.41 0.819
#> 4 3 1 1 0.640 0.358 1.06 0.702
# data_sumry
plot(mcmc_cov_indep, new_data = df, type = "g-comp")
We now fit Bayesian dose-respone models with and without covariate adjustment.
mcmc <- beaver_mcmc(
emax = model_negbin_emax(
mu_b1 = 0,
sigma_b1 = 10,
mu_b2 = 0,
sigma_b2 = 10,
mu_b3 = 1.5,
sigma_b3 = 3,
w_prior = 1 / 7
),
sigmoid_emax = model_negbin_sigmoid_emax(
mu_b1 = 0,
sigma_b1 = 10,
mu_b2 = 0,
sigma_b2 = 10,
mu_b3 = 1.5,
sigma_b3 = 3,
mu_b4 = 1,
sigma_b4 = 10,
w_prior = 1 / 7
),
linear = model_negbin_linear(
mu_b1 = 0,
sigma_b1 = 10,
mu_b2 = 0,
sigma_b2 = 10,
w_prior = 1 / 7
),
loglinear = model_negbin_loglinear(
mu_b1 = 0,
sigma_b1 = 10,
mu_b2 = 0,
sigma_b2 = 10,
w_prior = 1 / 7
),
quad = model_negbin_quad(
mu_b1 = 0,
sigma_b1 = 10,
mu_b2 = 0,
sigma_b2 = 10,
mu_b3 = 1.5,
sigma_b3 = 3,
w_prior = 1 / 7
),
logquad = model_negbin_logquad(
mu_b1 = 0,
sigma_b1 = 10,
mu_b2 = 0,
sigma_b2 = 10,
mu_b3 = 1.5,
sigma_b3 = 3,
w_prior = 1 / 7
),
exp = model_negbin_exp(
mu_b1 = 0,
sigma_b1 = 10,
mu_b2 = 0,
sigma_b2 = 10,
mu_b3 = 0,
sigma_b3 = 3,
w_prior = 1 / 7
),
formula = ~ 1,
data = df,
n_adapt = 1e4,
n_burn = 1e4,
n_iter = 1e4,
n_chains = 4,
quiet = FALSE
)
#> Compiling model graph
#> Resolving undeclared variables
#> Allocating nodes
#> Graph information:
#> Observed stochastic nodes: 200
#> Unobserved stochastic nodes: 7
#> Total graph size: 660
#>
#> Initializing model
#>
#> Compiling model graph
#> Resolving undeclared variables
#> Allocating nodes
#> Graph information:
#> Observed stochastic nodes: 200
#> Unobserved stochastic nodes: 8
#> Total graph size: 668
#>
#> Initializing model
#>
#> Compiling model graph
#> Resolving undeclared variables
#> Allocating nodes
#> Graph information:
#> Observed stochastic nodes: 200
#> Unobserved stochastic nodes: 6
#> Total graph size: 647
#>
#> Initializing model
#>
#> Compiling model graph
#> Resolving undeclared variables
#> Allocating nodes
#> Graph information:
#> Observed stochastic nodes: 200
#> Unobserved stochastic nodes: 6
#> Total graph size: 655
#>
#> Initializing model
#>
#> Compiling model graph
#> Resolving undeclared variables
#> Allocating nodes
#> Graph information:
#> Observed stochastic nodes: 200
#> Unobserved stochastic nodes: 7
#> Total graph size: 659
#>
#> Initializing model
#>
#> Compiling model graph
#> Resolving undeclared variables
#> Allocating nodes
#> Graph information:
#> Observed stochastic nodes: 200
#> Unobserved stochastic nodes: 7
#> Total graph size: 668
#>
#> Initializing model
#>
#> Compiling model graph
#> Resolving undeclared variables
#> Allocating nodes
#> Graph information:
#> Observed stochastic nodes: 200
#> Unobserved stochastic nodes: 7
#> Total graph size: 665
#>
#> Initializing model
mcmc_cov <- beaver_mcmc(
emax = model_negbin_emax(
mu_b1 = 0,
sigma_b1 = 10,
mu_b2 = 0,
sigma_b2 = 10,
mu_b3 = 1.5,
sigma_b3 = 3,
w_prior = 1 / 7
),
sigmoid_emax = model_negbin_sigmoid_emax(
mu_b1 = 0,
sigma_b1 = 10,
mu_b2 = 0,
sigma_b2 = 10,
mu_b3 = 1.5,
sigma_b3 = 3,
mu_b4 = 1,
sigma_b4 = 10,
w_prior = 1 / 7
),
linear = model_negbin_linear(
mu_b1 = 0,
sigma_b1 = 10,
mu_b2 = 0,
sigma_b2 = 10,
w_prior = 1 / 7
),
loglinear = model_negbin_loglinear(
mu_b1 = 0,
sigma_b1 = 10,
mu_b2 = 0,
sigma_b2 = 10,
w_prior = 1 / 7
),
quad = model_negbin_quad(
mu_b1 = 0,
sigma_b1 = 10,
mu_b2 = 0,
sigma_b2 = 10,
mu_b3 = 1.5,
sigma_b3 = 3,
w_prior = 1 / 7
),
logquad = model_negbin_logquad(
mu_b1 = 0,
sigma_b1 = 10,
mu_b2 = 0,
sigma_b2 = 10,
mu_b3 = 1.5,
sigma_b3 = 3,
w_prior = 1 / 7
),
exp = model_negbin_exp(
mu_b1 = 0,
sigma_b1 = 10,
mu_b2 = 0,
sigma_b2 = 10,
mu_b3 = 0,
sigma_b3 = 3,
w_prior = 1 / 7
),
formula = ~ age + gender,
data = df,
n_adapt = 1e4,
n_burn = 1e4,
n_iter = 1e4,
n_chains = 4,
quiet = FALSE
)
#> Compiling model graph
#> Resolving undeclared variables
#> Allocating nodes
#> Graph information:
#> Observed stochastic nodes: 200
#> Unobserved stochastic nodes: 9
#> Total graph size: 2246
#>
#> Initializing model
#>
#> Compiling model graph
#> Resolving undeclared variables
#> Allocating nodes
#> Graph information:
#> Observed stochastic nodes: 200
#> Unobserved stochastic nodes: 10
#> Total graph size: 2254
#>
#> Initializing model
#>
#> Compiling model graph
#> Resolving undeclared variables
#> Allocating nodes
#> Graph information:
#> Observed stochastic nodes: 200
#> Unobserved stochastic nodes: 8
#> Total graph size: 2233
#>
#> Initializing model
#>
#> Compiling model graph
#> Resolving undeclared variables
#> Allocating nodes
#> Graph information:
#> Observed stochastic nodes: 200
#> Unobserved stochastic nodes: 8
#> Total graph size: 2241
#>
#> Initializing model
#>
#> Compiling model graph
#> Resolving undeclared variables
#> Allocating nodes
#> Graph information:
#> Observed stochastic nodes: 200
#> Unobserved stochastic nodes: 9
#> Total graph size: 2245
#>
#> Initializing model
#>
#> Compiling model graph
#> Resolving undeclared variables
#> Allocating nodes
#> Graph information:
#> Observed stochastic nodes: 200
#> Unobserved stochastic nodes: 9
#> Total graph size: 2254
#>
#> Initializing model
#>
#> Compiling model graph
#> Resolving undeclared variables
#> Allocating nodes
#> Graph information:
#> Observed stochastic nodes: 200
#> Unobserved stochastic nodes: 9
#> Total graph size: 2251
#>
#> Initializing model
# diagnostics for each model
coda::gelman.diag(mcmc$models$exp$mcmc)
#> Potential scale reduction factors:
#>
#> Point est. Upper C.I.
#> (Intercept) 1.00 1.00
#> b2 1.04 1.06
#> b3 1.04 1.05
#> p[1] 1.00 1.00
#> p[2] 1.00 1.00
#> p[3] 1.00 1.00
#> p[4] 1.00 1.00
#>
#> Multivariate psrf
#>
#> 1.02
coda::gelman.diag(mcmc$models$emax$mcmc)
#> Potential scale reduction factors:
#>
#> Point est. Upper C.I.
#> (Intercept) 1 1.00
#> b2 1 1.01
#> b3 1 1.01
#> p[1] 1 1.00
#> p[2] 1 1.00
#> p[3] 1 1.00
#> p[4] 1 1.00
#>
#> Multivariate psrf
#>
#> 1
coda::gelman.diag(mcmc$models$sigmoid_emax$mcmc)
#> Potential scale reduction factors:
#>
#> Point est. Upper C.I.
#> (Intercept) 1.00 1.00
#> b2 1.01 1.02
#> b3 1.01 1.02
#> b4 1.07 1.13
#> p[1] 1.00 1.00
#> p[2] 1.00 1.00
#> p[3] 1.00 1.00
#> p[4] 1.00 1.00
#>
#> Multivariate psrf
#>
#> 1.02
coda::gelman.diag(mcmc$models$linear$mcmc)
#> Potential scale reduction factors:
#>
#> Point est. Upper C.I.
#> (Intercept) 1 1
#> b2 1 1
#> p[1] 1 1
#> p[2] 1 1
#> p[3] 1 1
#> p[4] 1 1
#>
#> Multivariate psrf
#>
#> 1
coda::gelman.diag(mcmc$models$quad$mcmc)
#> Potential scale reduction factors:
#>
#> Point est. Upper C.I.
#> (Intercept) 1 1.00
#> b2 1 1.01
#> b3 1 1.01
#> p[1] 1 1.00
#> p[2] 1 1.00
#> p[3] 1 1.00
#> p[4] 1 1.00
#>
#> Multivariate psrf
#>
#> 1
coda::gelman.diag(mcmc$models$logquad$mcmc)
#> Potential scale reduction factors:
#>
#> Point est. Upper C.I.
#> (Intercept) 1.00 1.00
#> b2 1.01 1.02
#> b3 1.01 1.02
#> p[1] 1.00 1.00
#> p[2] 1.00 1.00
#> p[3] 1.00 1.00
#> p[4] 1.00 1.00
#>
#> Multivariate psrf
#>
#> 1.01
coda::gelman.diag(mcmc$models$loglinear$mcmc)
#> Potential scale reduction factors:
#>
#> Point est. Upper C.I.
#> (Intercept) 1 1
#> b2 1 1
#> p[1] 1 1
#> p[2] 1 1
#> p[3] 1 1
#> p[4] 1 1
#>
#> Multivariate psrf
#>
#> 1
# posterior weight
mcmc$w_post
#> emax sigmoid_emax linear loglinear quad logquad
#> 0.14906065 0.08267935 0.10350408 0.24816205 0.13162263 0.14381195
#> exp
#> 0.14115929
# posterior estimate
post <- posterior(mcmc, contrast = matrix(1, 1, 1), doses = 0:3)
post$stats
#> # A tibble: 4 × 6
#> dose .contrast_index `(Intercept)` value `2.50%` `97.50%`
#> <int> <int> <dbl> <dbl> <dbl> <dbl>
#> 1 0 1 1 3.19 2.53 3.98
#> 2 1 1 1 1.43 0.995 1.89
#> 3 2 1 1 0.882 0.657 1.15
#> 4 3 1 1 0.647 0.403 0.999
# covariate adusted
coda::gelman.diag(mcmc_cov$models$exp$mcmc)
#> Potential scale reduction factors:
#>
#> Point est. Upper C.I.
#> (Intercept) 1.03 1.07
#> age 1.02 1.06
#> genderM 1.00 1.01
#> b2 1.09 1.19
#> b3 1.02 1.04
#> p[1] 1.00 1.00
#> p[2] 1.00 1.01
#> p[3] 1.00 1.00
#> p[4] 1.00 1.00
#>
#> Multivariate psrf
#>
#> 1.03
coda::gelman.diag(mcmc_cov$models$emax$mcmc)
#> Potential scale reduction factors:
#>
#> Point est. Upper C.I.
#> (Intercept) 1.01 1.03
#> age 1.01 1.03
#> genderM 1.00 1.00
#> b2 1.00 1.01
#> b3 1.00 1.01
#> p[1] 1.00 1.00
#> p[2] 1.00 1.00
#> p[3] 1.00 1.00
#> p[4] 1.00 1.00
#>
#> Multivariate psrf
#>
#> 1.01
coda::gelman.diag(mcmc_cov$models$sigmoid_emax$mcmc)
#> Potential scale reduction factors:
#>
#> Point est. Upper C.I.
#> (Intercept) 1.01 1.02
#> age 1.01 1.02
#> genderM 1.00 1.00
#> b2 1.01 1.02
#> b3 1.00 1.01
#> b4 1.02 1.04
#> p[1] 1.00 1.00
#> p[2] 1.00 1.00
#> p[3] 1.00 1.00
#> p[4] 1.00 1.00
#>
#> Multivariate psrf
#>
#> 1.01
coda::gelman.diag(mcmc_cov$models$linear$mcmc)
#> Potential scale reduction factors:
#>
#> Point est. Upper C.I.
#> (Intercept) 1.04 1.1
#> age 1.04 1.1
#> genderM 1.00 1.0
#> b2 1.00 1.0
#> p[1] 1.00 1.0
#> p[2] 1.00 1.0
#> p[3] 1.00 1.0
#> p[4] 1.00 1.0
#>
#> Multivariate psrf
#>
#> 1.02
coda::gelman.diag(mcmc_cov$models$quad$mcmc)
#> Potential scale reduction factors:
#>
#> Point est. Upper C.I.
#> (Intercept) 1.02 1.06
#> age 1.02 1.06
#> genderM 1.00 1.00
#> b2 1.00 1.01
#> b3 1.00 1.01
#> p[1] 1.00 1.00
#> p[2] 1.00 1.00
#> p[3] 1.00 1.00
#> p[4] 1.00 1.00
#>
#> Multivariate psrf
#>
#> 1.02
coda::gelman.diag(mcmc_cov$models$loglinear$mcmc)
#> Potential scale reduction factors:
#>
#> Point est. Upper C.I.
#> (Intercept) 1.11 1.28
#> age 1.10 1.28
#> genderM 1.01 1.02
#> b2 1.00 1.00
#> p[1] 1.00 1.00
#> p[2] 1.00 1.01
#> p[3] 1.00 1.00
#> p[4] 1.00 1.00
#>
#> Multivariate psrf
#>
#> 1.08
coda::gelman.diag(mcmc_cov$models$logquad$mcmc)
#> Potential scale reduction factors:
#>
#> Point est. Upper C.I.
#> (Intercept) 1.01 1.03
#> age 1.02 1.04
#> genderM 1.00 1.00
#> b2 1.01 1.02
#> b3 1.01 1.02
#> p[1] 1.00 1.00
#> p[2] 1.00 1.00
#> p[3] 1.00 1.00
#> p[4] 1.00 1.00
#>
#> Multivariate psrf
#>
#> 1.01
post_cov_g <- posterior_g_comp(mcmc_cov, new_data = df)
post_cov_g$stats
#> # A tibble: 4 × 4
#> dose value `2.50%` `97.50%`
#> <int> <dbl> <dbl> <dbl>
#> 1 0 3.20 2.57 3.91
#> 2 1 1.40 1.00 1.81
#> 3 2 0.915 0.690 1.18
#> 4 3 0.624 0.395 0.957
# no covariate adjustment
plot(mcmc, contrast = matrix(1, 1, 1))
# with covariate adjustment
plot(mcmc_cov, new_data = df, type = "g-comp")
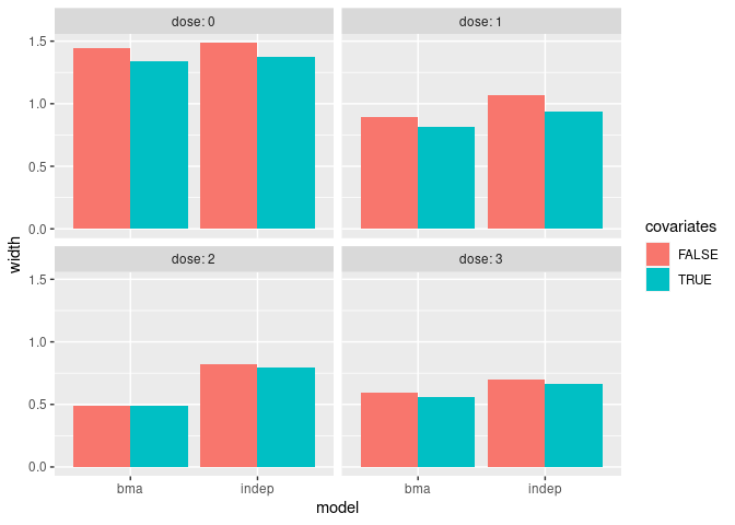
The following plot shows the widths of the credible intervals comparing the covariate-adjusted and unadjusted analyses.
# compare widths
w_indep <- mutate(
post_ind$stats,
width = `97.50%` - `2.50%`,
model = "indep",
covariates = FALSE
) %>%
select(dose, model, covariates, mean = value, `2.50%`, `97.50%`, width)
w_indep_cov <- mutate(
post_cov_ind$stats,
width = `97.50%` - `2.50%`,
model = "indep",
covariates = TRUE
) %>%
select(dose, model, covariates, mean = value, `2.50%`, `97.50%`, width)
w_bma <- mutate(
post$stats,
width = `97.50%` - `2.50%`,
model = "bma",
covariates = FALSE
) %>%
select(dose, model, covariates, mean = value, `2.50%`, `97.50%`, width)
w_bma_cov <- mutate(
post_cov_g$stats,
width = `97.50%` - `2.50%`,
model = "bma",
covariates = TRUE
) %>%
select(dose, model, covariates, mean = value, `2.50%`, `97.50%`, width)
widths <- bind_rows(w_indep, w_indep_cov, w_bma, w_bma_cov)
ggplot(widths, aes(model, width, fill = covariates)) +
geom_bar(stat = "identity", position = "dodge") +
facet_wrap(~dose, labeller = label_both)
install.packages("beaver")