ggwidth ggwidth website

CRAN status

The objective of ggwidth is to standardise ‘ggplot2’ geom width.

It provides methods to ensure the width in ggplot2 geoms are visually consistent across plots with different numbers of categories, panel dimensions, and orientations.

It works with geoms such as geom_bar/geom_col, geom_boxplot and geom_errorbar.

Note this function requires:

Installation

Install from CRAN, or development version from GitHub.

install.packages("ggwidth") 
pak::pak("davidhodge931/ggwidth")
library(ggplot2)
library(dplyr)
library(ggwidth)
library(patchwork)

set_theme(
  theme_grey() +
    theme(panel.widths  = rep(unit(75, "mm"), 2)) +
    theme(panel.heights = rep(unit(50, "mm"), 2))
)

set_equiwidth(1)
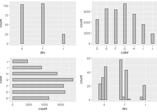
p1 <- mpg |>
  ggplot(aes(x = drv)) +
  geom_bar(
    width = get_width(n = 3),
    colour = "black",
    fill = "grey",
  )

p2 <- diamonds |>
  ggplot(aes(x = color)) +
  geom_bar(
    width = get_width(n = 7),
    colour = "black",
    fill = "grey",
  )

p3 <- diamonds |>
  ggplot(aes(y = color)) +
  geom_bar(
    width = get_width(n = 7, orientation = "y"),
    colour = "black",
    fill = "grey",
  )

p4 <- mpg |>
  ggplot(aes(x = drv, group = factor(cyl))) +
  geom_bar(
    position = position_dodge(preserve = "single"),
    width = get_width(n = 3, n_dodge = 4),
    colour = "black",
    fill = "grey",
  ) 

p1 + p2 + p3 + p4

d <- tibble::tibble(
  continent = c("Europe", "Europe", "Europe", "Europe", "Europe",
                "South America", "South America"),
  country   = c("AT", "DE", "DK", "ES", "PK", "TW", "BR"),
  value     = c(10L, 15L, 20L, 25L, 17L, 13L, 5L)
)

max_n <- d |>
  count(continent) |>
  pull(n) |>
  max()

d |>
  mutate(country = forcats::fct_rev(country)) |>
  ggplot(aes(y = country, x = value)) +
  geom_col(
    width = get_width(n = max_n, orientation = "y"),
    colour = "black",
    fill = "grey",
  ) +
  facet_wrap(~continent, scales = "free_y") +
  scale_y_discrete(continuous.limits = c(1, max_n)) +
  coord_cartesian(reverse = "y", clip = "off")

mpg |>
  ggplot(aes(x = drv)) +
  geom_bar(
    width = get_width(n = 3, panel_widths = unit(160, "mm")),
    colour = "black",
    fill = "grey",
  ) +
  theme(panel.widths = unit(160, "mm"))