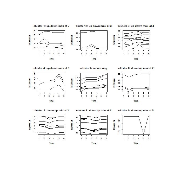
Second
clustering analysis is based on the package ORIClust and its
function ORICC1 and ORICC2 for one-stage or
two-stage algorithm. Methodology is based within information
criterion, clustering genes based on their profiles, while taking
into account ordering of doses and monotonicity of dose-response
relationship.
Analysis > ORIClust
Screenshot
of the main dialog box of ORIClust analysis
Plot
of the ORIClust results