ORIClust
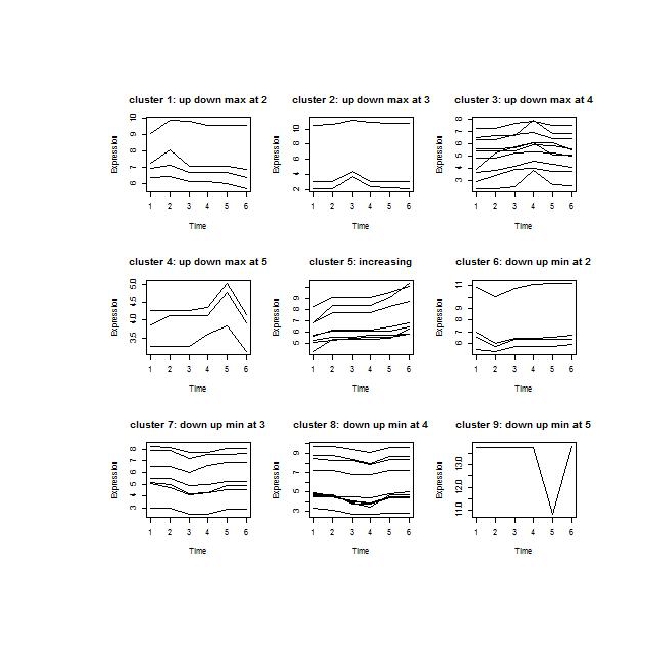
Second clustering analysis is based on the package ORIClust and its function ORICC1 and ORICC2 for one-stage or two-stage algorithm. Methodology is based within information criterion, clustering genes based on their profiles, while taking into account ordering of doses and monotonicity of dose-response relationship.   

Analysis > ORIClust


Screenshot of the main dialog box of ORIClust analysis

Home
    


Plot of the ORIClust results