# Messmer human ESC (Smart-seq2) {#messmer-hesc} ## Introduction This performs an analysis of the human embryonic stem cell (hESC) dataset generated with Smart-seq2 [@messmer2019transcriptional], which contains several plates of naive and primed hESCs. The chapter's code is based on the steps in the paper's [GitHub repository](https://github.com/MarioniLab/NaiveHESC2016/blob/master/analysis/preprocess.Rmd), with some additional steps for cell cycle effect removal contributed by Philippe Boileau. ## Data loading Converting the batch to a factor, to make life easier later on. ``` r library(scRNAseq) sce.mess <- MessmerESCData() sce.mess$`experiment batch` <- factor(sce.mess$`experiment batch`) ``` ``` r library(AnnotationHub) ens.hs.v97 <- AnnotationHub()[["AH73881"]] anno <- select(ens.hs.v97, keys=rownames(sce.mess), keytype="GENEID", columns=c("SYMBOL")) rowData(sce.mess) <- anno[match(rownames(sce.mess), anno$GENEID),] ``` ## Quality control Let's have a look at the QC statistics. ``` r colSums(as.matrix(filtered)) ``` ``` ## low_lib_size low_n_features high_subsets_Mito_percent ## 107 99 22 ## high_altexps_ERCC_percent discard ## 117 156 ``` ``` r gridExtra::grid.arrange( plotColData(original, x="experiment batch", y="sum", colour_by=I(filtered$discard), other_field="phenotype") + facet_wrap(~phenotype) + scale_y_log10(), plotColData(original, x="experiment batch", y="detected", colour_by=I(filtered$discard), other_field="phenotype") + facet_wrap(~phenotype) + scale_y_log10(), plotColData(original, x="experiment batch", y="subsets_Mito_percent", colour_by=I(filtered$discard), other_field="phenotype") + facet_wrap(~phenotype), plotColData(original, x="experiment batch", y="altexps_ERCC_percent", colour_by=I(filtered$discard), other_field="phenotype") + facet_wrap(~phenotype), ncol=1 ) ```
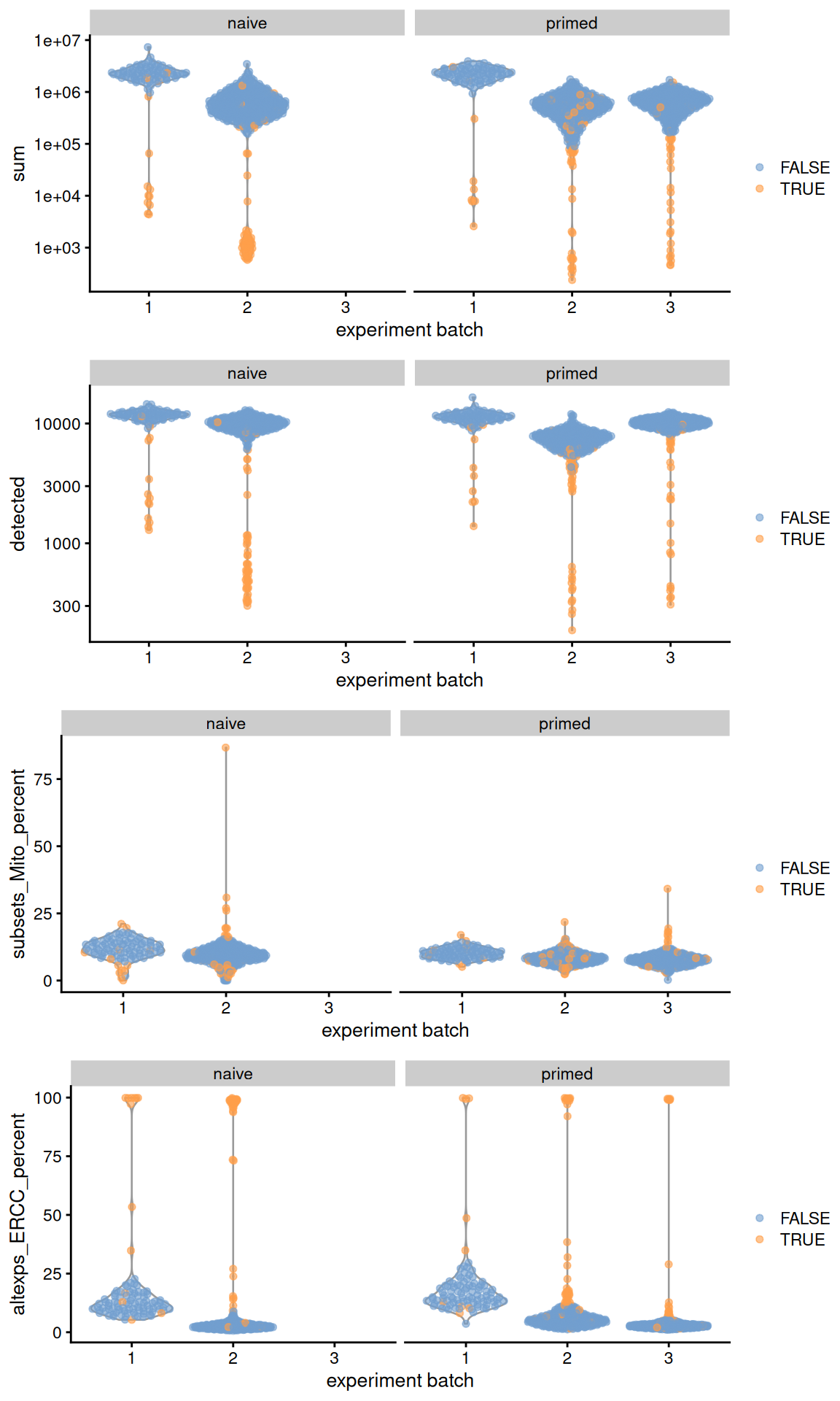
Distribution of QC metrics across batches (x-axis) and phenotypes (facets) for cells in the Messmer hESC dataset. Each point is a cell and is colored by whether it was discarded.

(\#fig:unref-messmer-hesc-qc)Distribution of QC metrics across batches (x-axis) and phenotypes (facets) for cells in the Messmer hESC dataset. Each point is a cell and is colored by whether it was discarded.

## Normalization ``` r library(scran) set.seed(10000) clusters <- quickCluster(sce.mess) sce.mess <- computeSumFactors(sce.mess, cluster=clusters) sce.mess <- logNormCounts(sce.mess) ``` ``` r par(mfrow=c(1,2)) plot(sce.mess$sum, sizeFactors(sce.mess), log = "xy", pch=16, xlab = "Library size (millions)", ylab = "Size factor", col = ifelse(sce.mess$phenotype == "naive", "black", "grey")) spike.sf <- librarySizeFactors(altExp(sce.mess, "ERCC")) plot(sizeFactors(sce.mess), spike.sf, log = "xy", pch=16, ylab = "Spike-in size factor", xlab = "Deconvolution size factor", col = ifelse(sce.mess$phenotype == "naive", "black", "grey")) ```
Deconvolution size factors plotted against the library size (left) and spike-in size factors plotted against the deconvolution size factors (right). Each point is a cell and is colored by its phenotype.

(\#fig:unref-messmer-hesc-norm)Deconvolution size factors plotted against the library size (left) and spike-in size factors plotted against the deconvolution size factors (right). Each point is a cell and is colored by its phenotype.

## Cell cycle phase assignment Here, we use multiple cores to speed up the processing. ``` r set.seed(10001) hs_pairs <- readRDS(system.file("exdata", "human_cycle_markers.rds", package="scran")) assigned <- cyclone(sce.mess, pairs=hs_pairs, gene.names=rownames(sce.mess), BPPARAM=BiocParallel::MulticoreParam(10)) sce.mess$phase <- assigned$phases ``` ``` r table(sce.mess$phase) ``` ``` ## ## G1 G2M S ## 460 406 322 ``` ``` r smoothScatter(assigned$scores$G1, assigned$scores$G2M, xlab="G1 score", ylab="G2/M score", pch=16) ```
G1 `cyclone()` phase scores against the G2/M phase scores for each cell in the Messmer hESC dataset.

(\#fig:unref-messmer-hesc-cyclone)G1 `cyclone()` phase scores against the G2/M phase scores for each cell in the Messmer hESC dataset.

## Feature selection ``` r dec <- modelGeneVarWithSpikes(sce.mess, "ERCC", block = sce.mess$`experiment batch`) top.hvgs <- getTopHVGs(dec, prop = 0.1) ``` ``` r par(mfrow=c(1,3)) for (i in seq_along(dec$per.block)) { current <- dec$per.block[[i]] plot(current$mean, current$total, xlab="Mean log-expression", ylab="Variance", pch=16, cex=0.5, main=paste("Batch", i)) fit <- metadata(current) points(fit$mean, fit$var, col="red", pch=16) curve(fit$trend(x), col='dodgerblue', add=TRUE, lwd=2) } ```
Per-gene variance of the log-normalized expression values in the Messmer hESC dataset, plotted against the mean for each batch. Each point represents a gene with spike-ins shown in red and the fitted trend shown in blue.

(\#fig:unref-messmer-hesc-var)Per-gene variance of the log-normalized expression values in the Messmer hESC dataset, plotted against the mean for each batch. Each point represents a gene with spike-ins shown in red and the fitted trend shown in blue.

## Batch correction We eliminate the obvious batch effect between batches with linear regression, which is possible due to the replicated nature of the experimental design. We set `keep=1:2` to retain the effect of the first two coefficients in `design` corresponding to our phenotype of interest. ``` r library(batchelor) sce.mess <- correctExperiments(sce.mess, PARAM = RegressParam( design = model.matrix(~sce.mess$phenotype + sce.mess$`experiment batch`), keep = 1:2 ) ) ``` ## Dimensionality Reduction We could have set `d=` and `subset.row=` in `correctExperiments()` to automatically perform a PCA on the the residual matrix with the subset of HVGs, but we'll just explicitly call `runPCA()` here to keep things simple. ``` r set.seed(1101001) sce.mess <- runPCA(sce.mess, subset_row = top.hvgs, exprs_values = "corrected") sce.mess <- runTSNE(sce.mess, dimred = "PCA", perplexity = 40) ``` From a naive PCA, the cell cycle appears to be a major source of biological variation within each phenotype. ``` r gridExtra::grid.arrange( plotTSNE(sce.mess, colour_by = "phenotype") + ggtitle("By phenotype"), plotTSNE(sce.mess, colour_by = "experiment batch") + ggtitle("By batch "), plotTSNE(sce.mess, colour_by = "CDK1", swap_rownames="SYMBOL") + ggtitle("By CDK1"), plotTSNE(sce.mess, colour_by = "phase") + ggtitle("By phase"), ncol = 2 ) ```
Obligatory $t$-SNE plots of the Messmer hESC dataset, where each point is a cell and is colored by various attributes.

(\#fig:unref-messmer-hesc-tsne)Obligatory $t$-SNE plots of the Messmer hESC dataset, where each point is a cell and is colored by various attributes.

We perform contrastive PCA (cPCA) and sparse cPCA (scPCA) on the corrected log-expression data to obtain the same number of PCs. Given that the naive hESCs are actually reprogrammed primed hESCs, we will use the single batch of primed-only hESCs as the "background" dataset to remove the cell cycle effect. ``` r library(scPCA) is.bg <- sce.mess$`experiment batch`=="3" target <- sce.mess[,!is.bg] background <- sce.mess[,is.bg] mat.target <- t(assay(target, "corrected")[top.hvgs,]) mat.background <- t(assay(background, "corrected")[top.hvgs,]) set.seed(1010101001) con_out <- scPCA( target = mat.target, background = mat.background, penalties = 0, # no penalties = non-sparse cPCA. n_eigen = 50, contrasts = 100 ) reducedDim(target, "cPCA") <- con_out$x ``` ``` r set.seed(101010101) sparse_con_out <- scPCA( target = mat.target, background = mat.background, penalties = 1e-4, n_eigen = 50, contrasts = 100, alg = "rand_var_proj" # for speed. ) reducedDim(target, "scPCA") <- sparse_con_out$x ``` We see greater intermingling between phases within both the naive and primed cells after cPCA and scPCA. ``` r set.seed(1101001) target <- runTSNE(target, dimred = "cPCA", perplexity = 40, name="cPCA+TSNE") target <- runTSNE(target, dimred = "scPCA", perplexity = 40, name="scPCA+TSNE") ``` ``` r gridExtra::grid.arrange( plotReducedDim(target, "cPCA+TSNE", colour_by = "phase") + ggtitle("After cPCA"), plotReducedDim(target, "scPCA+TSNE", colour_by = "phase") + ggtitle("After scPCA"), ncol=2 ) ```
More $t$-SNE plots of the Messmer hESC dataset after cPCA and scPCA, where each point is a cell and is colored by its assigned cell cycle phase.

(\#fig:unref-messmer-hesc-cpca-tsne)More $t$-SNE plots of the Messmer hESC dataset after cPCA and scPCA, where each point is a cell and is colored by its assigned cell cycle phase.

We can quantify the change in the separation between phases within each phenotype using the silhouette coefficient. ``` r library(bluster) naive <- target[,target$phenotype=="naive"] primed <- target[,target$phenotype=="primed"] N <- approxSilhouette(reducedDim(naive, "PCA"), naive$phase) P <- approxSilhouette(reducedDim(primed, "PCA"), primed$phase) c(naive=mean(N$width), primed=mean(P$width)) ``` ``` ## naive primed ## 0.02032 0.03025 ``` ``` r cN <- approxSilhouette(reducedDim(naive, "cPCA"), naive$phase) cP <- approxSilhouette(reducedDim(primed, "cPCA"), primed$phase) c(naive=mean(cN$width), primed=mean(cP$width)) ``` ``` ## naive primed ## 0.007696 0.011941 ``` ``` r scN <- approxSilhouette(reducedDim(naive, "scPCA"), naive$phase) scP <- approxSilhouette(reducedDim(primed, "scPCA"), primed$phase) c(naive=mean(scN$width), primed=mean(scP$width)) ``` ``` ## naive primed ## 0.006614 0.014601 ``` ## Session Info {-}
``` R Under development (unstable) (2025-10-20 r88955) Platform: x86_64-pc-linux-gnu Running under: Ubuntu 24.04.3 LTS Matrix products: default BLAS: /home/biocbuild/bbs-3.23-bioc/R/lib/libRblas.so LAPACK: /usr/lib/x86_64-linux-gnu/lapack/liblapack.so.3.12.0 LAPACK version 3.12.0 locale: [1] LC_CTYPE=en_US.UTF-8 LC_NUMERIC=C [3] LC_TIME=en_GB LC_COLLATE=C [5] LC_MONETARY=en_US.UTF-8 LC_MESSAGES=en_US.UTF-8 [7] LC_PAPER=en_US.UTF-8 LC_NAME=C [9] LC_ADDRESS=C LC_TELEPHONE=C [11] LC_MEASUREMENT=en_US.UTF-8 LC_IDENTIFICATION=C time zone: America/New_York tzcode source: system (glibc) attached base packages: [1] stats4 stats graphics grDevices utils datasets methods [8] base other attached packages: [1] bluster_1.21.0 scPCA_1.25.0 [3] batchelor_1.27.0 scran_1.39.0 [5] scater_1.39.0 ggplot2_4.0.0 [7] scuttle_1.21.0 AnnotationHub_4.1.0 [9] BiocFileCache_3.1.0 dbplyr_2.5.1 [11] ensembldb_2.35.0 AnnotationFilter_1.35.0 [13] GenomicFeatures_1.63.1 AnnotationDbi_1.73.0 [15] scRNAseq_2.25.0 SingleCellExperiment_1.33.0 [17] SummarizedExperiment_1.41.0 Biobase_2.71.0 [19] GenomicRanges_1.63.0 Seqinfo_1.1.0 [21] IRanges_2.45.0 S4Vectors_0.49.0 [23] BiocGenerics_0.57.0 generics_0.1.4 [25] MatrixGenerics_1.23.0 matrixStats_1.5.0 [27] BiocStyle_2.39.0 rebook_1.21.0 loaded via a namespace (and not attached): [1] BiocIO_1.21.0 bitops_1.0-9 [3] filelock_1.0.3 tibble_3.3.0 [5] CodeDepends_0.6.6 graph_1.89.0 [7] XML_3.99-0.19 lifecycle_1.0.4 [9] httr2_1.2.1 Rdpack_2.6.4 [11] edgeR_4.9.0 globals_0.18.0 [13] lattice_0.22-7 alabaster.base_1.11.1 [15] magrittr_2.0.4 limma_3.67.0 [17] sass_0.4.10 rmarkdown_2.30 [19] jquerylib_0.1.4 yaml_2.3.10 [21] metapod_1.19.0 cowplot_1.2.0 [23] DBI_1.2.3 RColorBrewer_1.1-3 [25] ResidualMatrix_1.21.0 abind_1.4-8 [27] Rtsne_0.17 purrr_1.2.0 [29] RCurl_1.98-1.17 rappdirs_0.3.3 [31] ggrepel_0.9.6 irlba_2.3.5.1 [33] listenv_0.10.0 alabaster.sce_1.11.0 [35] RSpectra_0.16-2 parallelly_1.45.1 [37] dqrng_0.4.1 DelayedMatrixStats_1.33.0 [39] codetools_0.2-20 DelayedArray_0.37.0 [41] tidyselect_1.2.1 UCSC.utils_1.7.0 [43] farver_2.1.2 ScaledMatrix_1.19.0 [45] viridis_0.6.5 GenomicAlignments_1.47.0 [47] jsonlite_2.0.0 BiocNeighbors_2.5.0 [49] tools_4.6.0 Rcpp_1.1.0 [51] glue_1.8.0 gridExtra_2.3 [53] SparseArray_1.11.1 xfun_0.54 [55] GenomeInfoDb_1.47.0 dplyr_1.1.4 [57] HDF5Array_1.39.0 gypsum_1.7.0 [59] withr_3.0.2 BiocManager_1.30.26 [61] fastmap_1.2.0 sparsepca_0.1.2 [63] rhdf5filters_1.23.0 digest_0.6.37 [65] rsvd_1.0.5 R6_2.6.1 [67] dichromat_2.0-0.1 RSQLite_2.4.3 [69] cigarillo_1.1.0 h5mread_1.3.0 [71] data.table_1.17.8 rtracklayer_1.71.0 [73] httr_1.4.7 S4Arrays_1.11.0 [75] pkgconfig_2.0.3 gtable_0.3.6 [77] blob_1.2.4 S7_0.2.0 [79] XVector_0.51.0 htmltools_0.5.8.1 [81] bookdown_0.45 ProtGenerics_1.43.0 [83] scales_1.4.0 alabaster.matrix_1.11.0 [85] png_0.1-8 knitr_1.50 [87] rjson_0.2.23 curl_7.0.0 [89] cachem_1.1.0 rhdf5_2.55.4 [91] stringr_1.6.0 BiocVersion_3.23.1 [93] KernSmooth_2.23-26 parallel_4.6.0 [95] vipor_0.4.7 restfulr_0.0.16 [97] pillar_1.11.1 grid_4.6.0 [99] alabaster.schemas_1.11.0 vctrs_0.6.5 [101] origami_1.0.7 BiocSingular_1.27.0 [103] beachmat_2.27.0 cluster_2.1.8.1 [105] beeswarm_0.4.0 evaluate_1.0.5 [107] cli_3.6.5 locfit_1.5-9.12 [109] compiler_4.6.0 Rsamtools_2.27.0 [111] rlang_1.1.6 crayon_1.5.3 [113] future.apply_1.20.0 labeling_0.4.3 [115] ggbeeswarm_0.7.2 stringi_1.8.7 [117] alabaster.se_1.11.0 viridisLite_0.4.2 [119] BiocParallel_1.45.0 assertthat_0.2.1 [121] Biostrings_2.79.1 lazyeval_0.2.2 [123] coop_0.6-3 Matrix_1.7-4 [125] dir.expiry_1.19.0 ExperimentHub_3.1.0 [127] future_1.67.0 sparseMatrixStats_1.23.0 [129] bit64_4.6.0-1 Rhdf5lib_1.33.0 [131] KEGGREST_1.51.0 statmod_1.5.1 [133] alabaster.ranges_1.11.0 kernlab_0.9-33 [135] rbibutils_2.3 igraph_2.2.1 [137] memoise_2.0.1 bslib_0.9.0 [139] bit_4.6.0 ```